Упр.91 ГДЗ Никольский Потапов 9 класс (Алгебра)

Решение #1

Изображение 91. Решите неравенство:а) (0,25x)^2-4x+12>0   б) (0,5x)^2+8x+240   з)...
Дополнительное изображение
Дополнительное изображение

Решение #2

Изображение 91. Решите неравенство:а) (0,25x)^2-4x+12>0   б) (0,5x)^2+8x+240   з)...
Дополнительное изображение
Дополнительное изображение
Дополнительное изображение

Рассмотрим вариант решения задания из учебника Никольский, Потапов 9 класс, Просвещение:
91. Решите неравенство:
а) (0,25x)^2-4x+12>0
б) (0,5x)^2+8x+24<0
в) 3-x+1/16 x^2<0
г) 4x-1/4 x^2+12>0
д) 5x^2-x-7<0
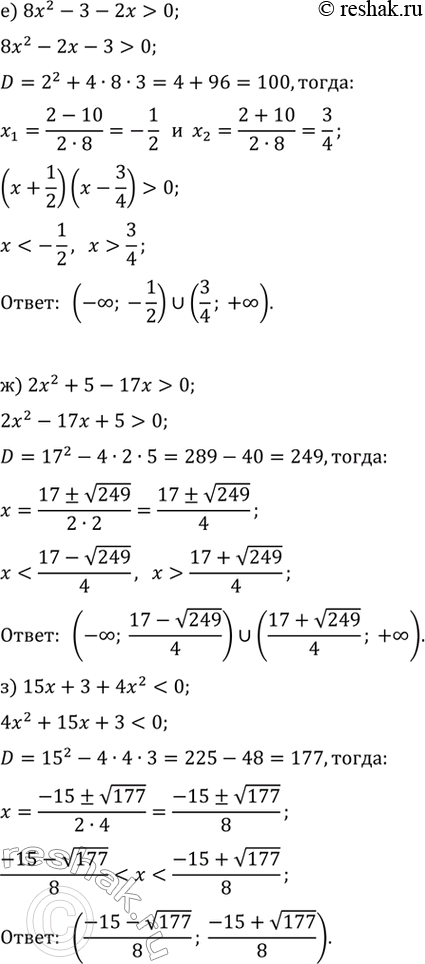
е) 8x^2-3-2x>0
ж) (2x)^2+5-17x>0
з) 15x+3+4x^2<0
*Цитирирование задания со ссылкой на учебник производится исключительно в учебных целях для лучшего понимания разбора решения задания.
*размещая тексты в комментариях ниже, вы автоматически соглашаетесь с пользовательским соглашением