Упр.85 ГДЗ Никольский Потапов 9 класс (Алгебра)

Решение #1

Изображение 85.а) x^2-x>0x(x-1)>0 б)  x^2+x0 е)...
Дополнительное изображение

Решение #2

Изображение 85.а) x^2-x>0x(x-1)>0 б)  x^2+x0 е)...
Дополнительное изображение

Рассмотрим вариант решения задания из учебника Никольский, Потапов 9 класс, Просвещение:
85.
а) x^2-x>0
x(x-1)>0
б) x^2+x<0
x(x+1)<0
в) 5x^2-x<0
x(5x-1)<0
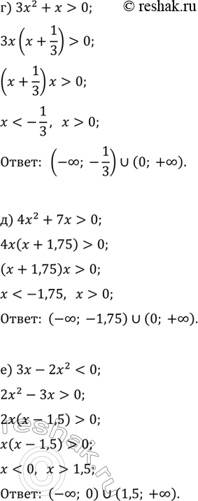
г) 3x^2+x>0
x(3x+1)>0
д) 4x^2+7x>0
x(4x+7)>0
е) 3x-2x^2<0
*Цитирирование задания со ссылкой на учебник производится исключительно в учебных целях для лучшего понимания разбора решения задания.
*размещая тексты в комментариях ниже, вы автоматически соглашаетесь с пользовательским соглашением