Упр.74 ГДЗ Никольский Потапов 9 класс (Алгебра)

Решение #1

Изображение Является ли число, указанное в скобках, решением неравенства (74-75):74.а) x^2-3x+4>0 б)...
Дополнительное изображение

Решение #2

Изображение Является ли число, указанное в скобках, решением неравенства (74-75):74.а) x^2-3x+4>0 б)...
Дополнительное изображение

Рассмотрим вариант решения задания из учебника Никольский, Потапов 9 класс, Просвещение:
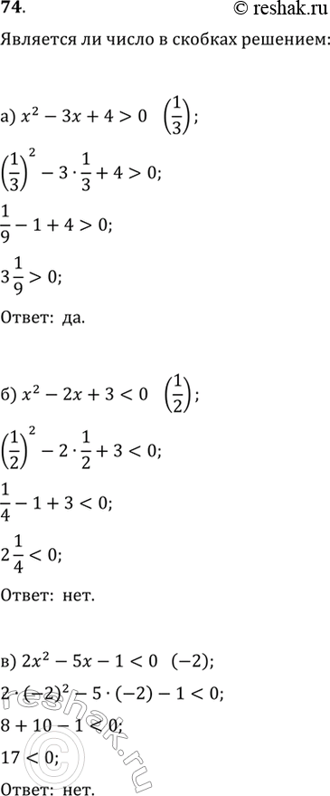
Является ли число, указанное в скобках, решением неравенства (74-75):
74.
а) x^2-3x+4>0
б) x^2-2x+3<0
в) 2x^2-5x-1<0
г) 3x^2-3x+1>0
д) 1/3 x^2-1/5 x+1/7<0
е) x^2/4+x-1/7<0
*Цитирирование задания со ссылкой на учебник производится исключительно в учебных целях для лучшего понимания разбора решения задания.
*размещая тексты в комментариях ниже, вы автоматически соглашаетесь с пользовательским соглашением