Упр.687 ГДЗ Никольский Потапов 8 класс (Алгебра)
Решение #1

Рассмотрим вариант решения задания из учебника Никольский, Потапов 8 класс, Просвещение:
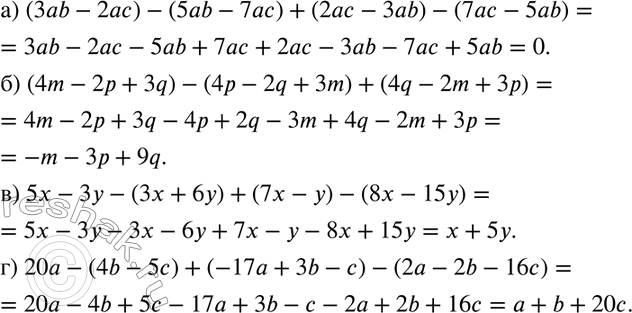
687. а) (3аb - 2ас) - (5аb - 7ас) + (2ас - 3аb) - (7ас - 5аb);
б) (4m - 2р + 3q) - (4р -2q + 3m) + (4q - 2m + 3р);
в) 5х -3у - (3x + 6y) + (7х - у) - (8х - 15у);
г) 20а - (4b - 5с) + (-17а + 3b - с) - (2а - 2b - 16с).
*размещая тексты в комментариях ниже, вы автоматически соглашаетесь с пользовательским соглашением