Упр.685 ГДЗ Никольский Потапов 8 класс (Алгебра)
Решение #1

Рассмотрим вариант решения задания из учебника Никольский, Потапов 8 класс, Просвещение:
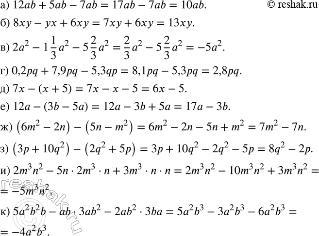
685. а) 12аb + 5ab - 7ab;
б) 8ху - ух + 6ху;
в) 2а2 - 1*1/3*а2 - 5*2/3*а2;
Г) 0,2pq + 7,9 pq- 5,3pq;
д) 7х -(х + 5);
е) 12а - (3b - 5а);
ж) (6m2 - 2n) - (5n - m2);
з) (3р + 10q2) - (2q2 + 5р);
и) 2m3n2 — 5n * 2m3 * n + 3m3 * n*n;
к) 5a2b2b - ab * 3ab2 - 2ab2 * 3bа.
*размещая тексты в комментариях ниже, вы автоматически соглашаетесь с пользовательским соглашением