Упр.653 ГДЗ Никольский Потапов 8 класс (Алгебра)
Решение #1

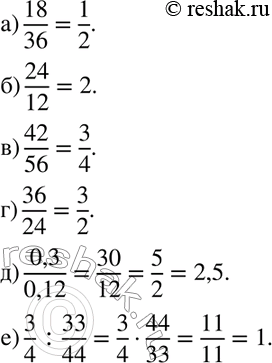
Рассмотрим вариант решения задания из учебника Никольский, Потапов 8 класс, Просвещение:
653 Найдите отношение:
а) 18 к 36;
б) 24 к 12;
в) 46 к 56;
г) 36 к 24;
д) 0,3 к 0,12;
е) 3/4 к 33/44.
*размещая тексты в комментариях ниже, вы автоматически соглашаетесь с пользовательским соглашением