Упр.608 ГДЗ Никольский Потапов 8 класс (Алгебра)
Решение #1

Рассмотрим вариант решения задания из учебника Никольский, Потапов 8 класс, Просвещение:
Решите систему уравнений (608—612):
608. Из «Арифметики» Диофанта.
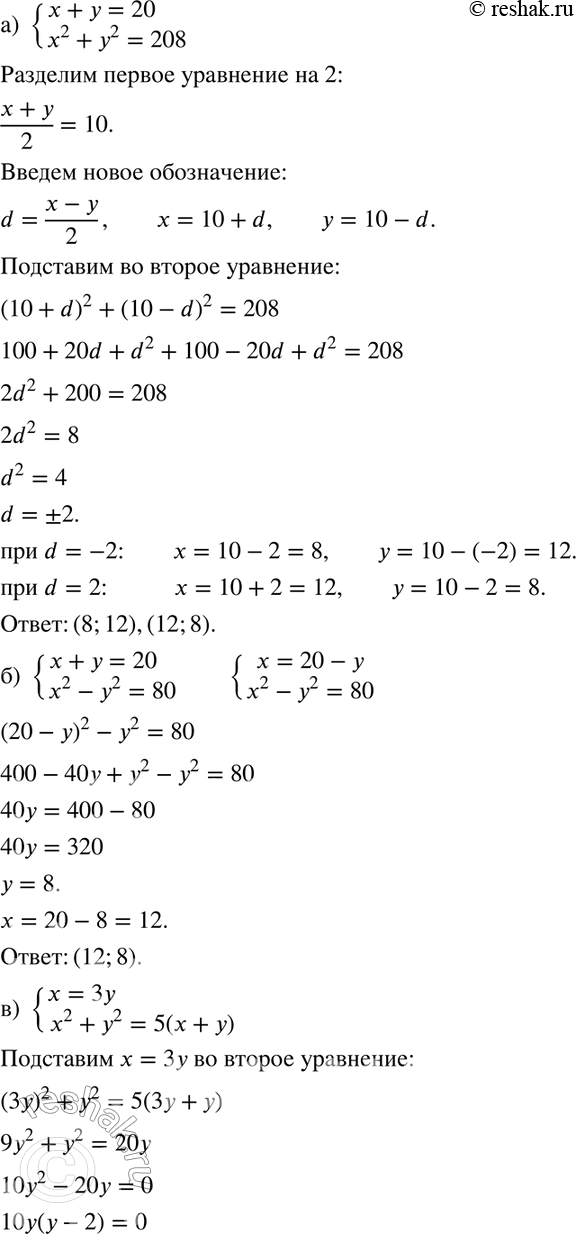
а) система
x+y=20,
x2+y2=208;
б) система
x+y=20,
x2-y2=80;
в) система
x=3y,
x2+y2=5(x+y);
г) система
x=3y,
x2+y2=10(x-y);
д) система
x=3y,
x2-y2=12(x-y);
е) система
x=3y,
y2=6x;
ж) система
x=3y,
y2=6(x-y);
з) система
x-y=2,
x2-y2=x-y+20.
*размещая тексты в комментариях ниже, вы автоматически соглашаетесь с пользовательским соглашением