Упр.595 ГДЗ Никольский Потапов 9 класс (Алгебра)

Решение #1

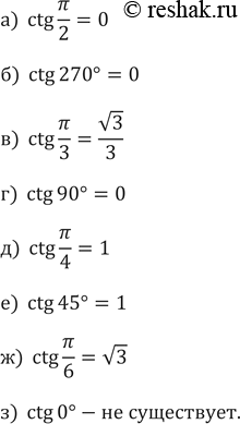
Изображение 595. a) ctg пи/2;	б) ctg270°;	в) ctg пи/3;г) ctg 90°;	д) ctg пи/4;	е) ctg45°;ж) ctg пи/6;	з) ctg...
Дополнительное изображение

Решение #2

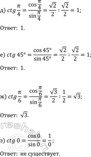
Изображение 595. a) ctg пи/2;	б) ctg270°;	в) ctg пи/3;г) ctg 90°;	д) ctg пи/4;	е) ctg45°;ж) ctg пи/6;	з) ctg...

Рассмотрим вариант решения задания из учебника Никольский, Потапов 9 класс, Просвещение:
595. a) ctg пи/2; б) ctg270°; в) ctg пи/3;
г) ctg 90°; д) ctg пи/4; е) ctg45°;
ж) ctg пи/6; з) ctg О.
*Цитирирование задания со ссылкой на учебник производится исключительно в учебных целях для лучшего понимания разбора решения задания.
*размещая тексты в комментариях ниже, вы автоматически соглашаетесь с пользовательским соглашением