Упр.559 ГДЗ Никольский Потапов 8 класс (Алгебра)
Решение #1

Рассмотрим вариант решения задания из учебника Никольский, Потапов 8 класс, Просвещение:
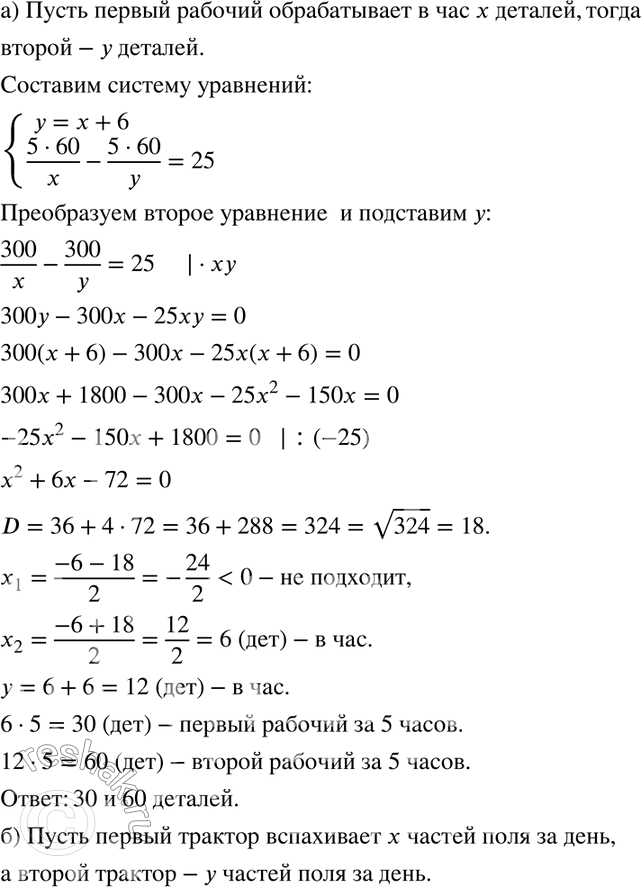
559. а) На обработку одной детали первый рабочий затрачивает на 6 мин меньше, чем второй. Сколько деталей обработает каждый рабочий за 5 ч, если первый обработает за это время на 25 деталей больше, чем второй?
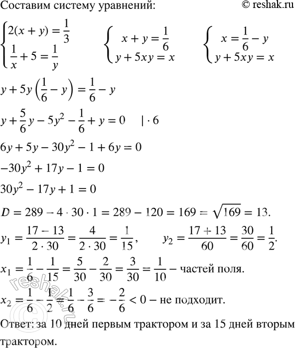
б) За два дня совместной работы двух тракторов различной мощности была вспахана одна треть поля. За сколько дней можно было бы вспахать всё поле каждым трактором отдельно, если первым трактором можно вспахать всё поле на 5 дней скорее, чем вторым?
*размещая тексты в комментариях ниже, вы автоматически соглашаетесь с пользовательским соглашением