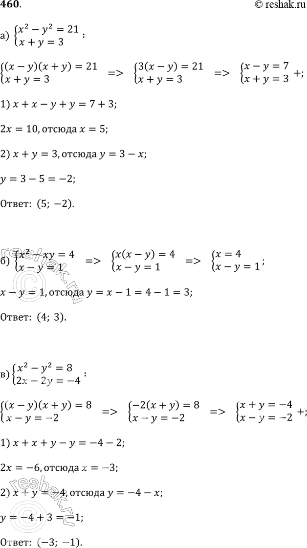
Упр.460 ГДЗ Дорофеев Суворова 9 класс (Алгебра)
Решение #1

Рассмотрим вариант решения задания из учебника Дорофеев, Суворова, Бунимович 9 класс, Просвещение:
460. Вернитесь к упражнению 448 и решите каждую систему, сведя её к системе линейных уравнений; для этого воспользуйтесь тем, что левые части одного из уравнений можно разложить на множители.
*размещая тексты в комментариях ниже, вы автоматически соглашаетесь с пользовательским соглашением