Упр.439 ГДЗ Никольский Потапов 8 класс (Алгебра)
Решение #1

Рассмотрим вариант решения задания из учебника Никольский, Потапов 8 класс, Просвещение:
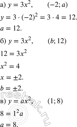
439 а) Задана функция у = 3х2. Точка (-2; а) принадлежит графику этой функции. Найдите а.
б) Задана функция у = 3х2. Точка (b; 12) принадлежит графику этой функции. Найдите b.
в) Точка (1; 8) принадлежит графику функции у = ах2. Определите а.
*размещая тексты в комментариях ниже, вы автоматически соглашаетесь с пользовательским соглашением