Упр.40 ГДЗ Никольский Потапов 9 класс (Алгебра)

Решение #1

Изображение 40.а) 2x+(3x-1)>4б)...
Дополнительное изображение

Решение #2

Изображение 40.а) 2x+(3x-1)>4б)...
Дополнительное изображение

Рассмотрим вариант решения задания из учебника Никольский, Потапов 9 класс, Просвещение:
40.
а) 2x+(3x-1)>4
б) x-16<(5-2x)-x-1
в) 2x-(x-1)<3
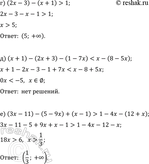
г) (2x-3)-(x+1)>1
д) (x+1)-(2x+3)-(1-7x)
е) (3x-11)-(5-9x)+(x-1)>1-4x-(12+x)
*Цитирирование задания со ссылкой на учебник производится исключительно в учебных целях для лучшего понимания разбора решения задания.
*размещая тексты в комментариях ниже, вы автоматически соглашаетесь с пользовательским соглашением