Упр.24 ГДЗ Никольский Потапов 9 класс (Алгебра)

Решение #1

Изображение 24.а) 1+ 2/9 x0д) 2 1/3 x-3 1/20...
Дополнительное изображение

Решение #2

Изображение 24.а) 1+ 2/9 x0д) 2 1/3 x-3 1/20...
Дополнительное изображение
Дополнительное изображение

Рассмотрим вариант решения задания из учебника Никольский, Потапов 9 класс, Просвещение:
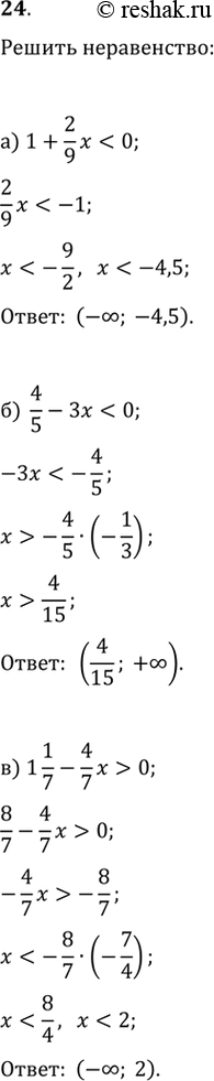
24.
а) 1+ 2/9 x<0
б) 4/5-3x<0
в) 1 1/7-4/7 x>0
г) 4 1/3-82/3>0
д) 2 1/3 x-3 1/2<0
е) 5/7 x-5/7>0
*Цитирирование задания со ссылкой на учебник производится исключительно в учебных целях для лучшего понимания разбора решения задания.
*размещая тексты в комментариях ниже, вы автоматически соглашаетесь с пользовательским соглашением