Упр.234 ГДЗ Никольский Потапов 9 класс (Алгебра)

Решение #1

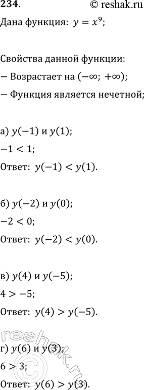
Изображение 234. Дана функция у = х^9. Сравните:а) у(-1) и у(1);	б) у(-2) и y(0);в) у(4) и y(-5);	г) у(6) и...

Решение #2

Изображение 234. Дана функция у = х^9. Сравните:а) у(-1) и у(1);	б) у(-2) и y(0);в) у(4) и y(-5);	г) у(6) и...

Рассмотрим вариант решения задания из учебника Никольский, Потапов 9 класс, Просвещение:
234. Дана функция у = х^9. Сравните:
а) у(-1) и у(1); б) у(-2) и y(0);
в) у(4) и y(-5); г) у(6) и у(3)
*Цитирирование задания со ссылкой на учебник производится исключительно в учебных целях для лучшего понимания разбора решения задания.
*размещая тексты в комментариях ниже, вы автоматически соглашаетесь с пользовательским соглашением