Упр.232 ГДЗ Никольский Потапов 8 класс (Алгебра)
Решение #1

Рассмотрим вариант решения задания из учебника Никольский, Потапов 8 класс, Просвещение:
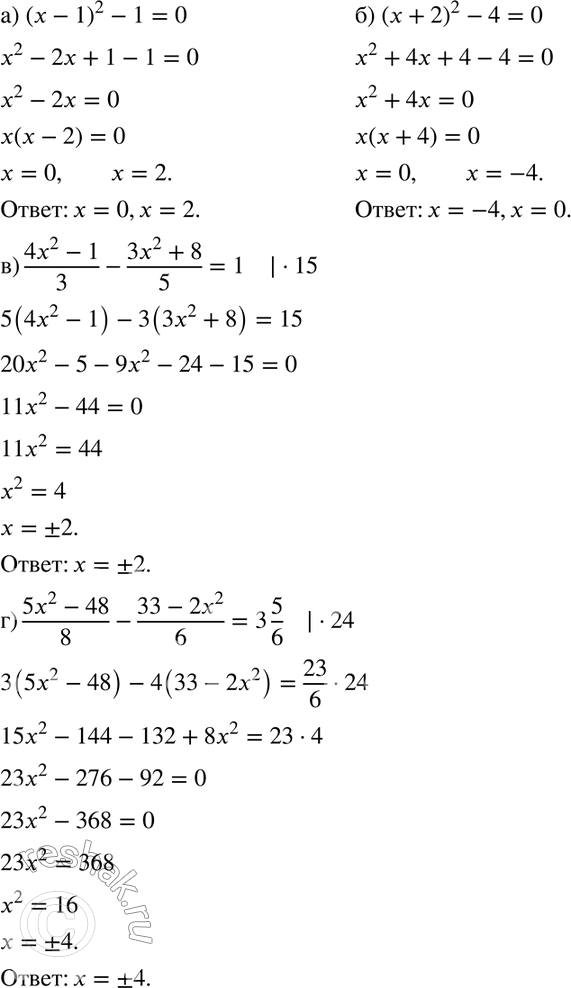
232. Решите уравнение:
а) (х - 1)2 - 1 = 0;
б) (х + 2)2 - 4 = 0;
в)
г)
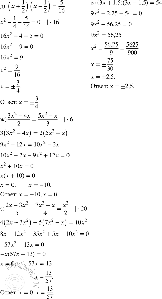
д) (x+1/2)(x-1/2)=5/16;
е) (3x+1,5)(3x-1,5)=54;
ж)
з)
*размещая тексты в комментариях ниже, вы автоматически соглашаетесь с пользовательским соглашением