Упр.228 ГДЗ Никольский Потапов 8 класс (Алгебра)
Решение #1

Рассмотрим вариант решения задания из учебника Никольский, Потапов 8 класс, Просвещение:
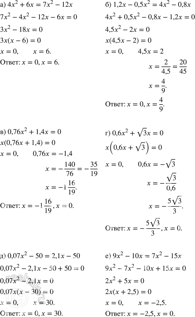
228. а) 4x2 + 6x = 7x2 - 12x;
б) 1,2x - 0,5x2 = 4х2 - 0,8x;
в) 0,76x2 + 1,4x = 0;
г) 0,6x2 + корень 3* х = 0;
д) 0,07x2 - 50 = 2,1x - 50;
е) 9x2 - 10x = 7х2 - 15x;
ж) -0,5x2 + корень 5 * x =0;
з) 2/3*x2 = 5x.
*размещая тексты в комментариях ниже, вы автоматически соглашаетесь с пользовательским соглашением