Упр.166 ГДЗ Никольский Потапов 8 класс (Алгебра)
Решение #1

Рассмотрим вариант решения задания из учебника Никольский, Потапов 8 класс, Просвещение:
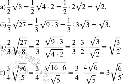
166. Вынесите множитель из-под знака корня:
а) 1/2 * корень 8;
б) 1/3 * корень 27;
в) 2/3 * корень 27/8;
г) 3/4 * корень 96/5.
*размещая тексты в комментариях ниже, вы автоматически соглашаетесь с пользовательским соглашением