Упр.145 ГДЗ Никольский Потапов 8 класс (Алгебра)
Решение #1

Рассмотрим вариант решения задания из учебника Никольский, Потапов 8 класс, Просвещение:
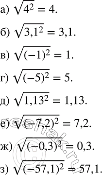
145. Вычислите:
a) корень 4^2;
б) корень 3,1^2;
в) корень (-1)2;
г) корень (-5)2;
д) корень 1,13^2;
е) корень (-7,2)2;
ж) корень (-0,3)2;
з) корень (-57,l)2.
*размещая тексты в комментариях ниже, вы автоматически соглашаетесь с пользовательским соглашением